
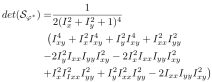
This paper investigates the use of the spinor tensor as the base for a key point detector, very much like the structure tensor and the Hessian is used for the same purpose. It is shown that the determinant of the Spinor tensor can be approximated by the square of the determinant of Hessian. This is a really interesting result saying that both the determinant of the hessian and also negating it will give different kinds of points (dark or bright blobs). The square will also detect both negative and positive eigenvalues, i.e. saddle points.
The trace of the spinor tensor also have interesting interpretations and actually it has two main parts that can each of them be used as key point detectors. I suggest you to read the paper!
- Invariant Interest Point Detection Based on Variations of the Spinor Tensor. A. Hast, A. Marchetti. WSCG 2014, Short Paper. pp. 49-56. 2014.
@inproceedings{Has14a, author = {A. Hast and A. Marchetti}, title = {Invariant Interest Point Detection Based on Variations of the Spinor Tensor}, booktitle = {WSCG 2014}, pages = {49--56}, note = {Short Paper}, year = {2014}}
